
Who we are: Hongtaiji flame retardant material Co., Ltd.?
查看詳情+
在zai阻zu燃ran劑ji領ling域yu,紅hong磷lin阻zu燃ran劑ji以yi其qi獨du特te的de優you勢shi成cheng為wei眾zhong多duo行xing業ye的de首shou選xuan。這zhe種zhong無wu機ji阻zu燃ran劑ji不bu僅jin具ju有you優you異yi的de阻zu燃ran性xing能neng,還hai符fu合he現xian代dai工gong業ye對dui環huan保bao和he安an全quan的de要yao求qiu,在zai塑su料liao、橡膠、紡織品等領域得到廣泛應用
查看詳情+
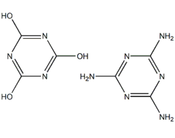
阻燃劑MCA,全稱三聚氰胺氰尿酸鹽,是一種高效、環保的氮係阻燃劑,因其優異的阻燃性能、低毒性和良好的熱穩定性,被廣泛應用於塑料、橡膠、塗料、紡織品等領域
查看詳情+
三聚氰胺氰尿酸鹽(MCA)作為一種含氮的無鹵環保型阻燃劑,在阻燃材料中具有廣泛的應用。
查看詳情+
三聚氰胺氰尿酸(MCA)作為阻燃劑,其阻燃機理主要包括以下幾個關鍵步驟:
查看詳情+